让我们连接一个充电电容器电容C法拉与a串联电阻器的电阻R欧姆。然后我们通过打开如图所示的推动开关来短路这个串联组合。
一旦电容器短路,它就开始放电。
放电是指电容器放弃其储存的电荷。
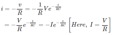
让我们假设电压电容在充满电状态下的电压为V伏。一旦电容器短路时,电路的放电电流为- V / R安培。但是在接通的瞬间之后,它是在t =时+0的当前的通过电路
按基尔霍夫电压定律我们得到了,
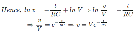
对两边积分,我们得到,
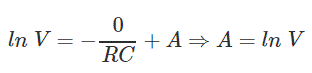
其中,A是积分常数,在t = 0时,v = v,
计算A的值后,我们得到,
我们知道电路的形式KVL,
如果我们把放电电流和电压画出来,我们得到,
因此,电容器电流从其初值指数地趋于零,电容器电压在放电过程中从其初值指数地趋于零。











