输电线路电感的原因
一般来说,电力是通过输电线路交流高电压和当前的.高值交流电流经时导体设置磁通具有高强度和交替性质的。这种高值的交变磁通量与与主导体平行的其他相邻导体形成了一个连杆。导体中的磁链发生在内部和外部。内部磁链是由于自流,外部磁链是由于外部磁链。现在这个词电感与通量链密切相关,记为λ。设一个匝数为N的线圈,由于电流I,其磁通为Φ,则,
但对于传输线N = 1。我们只需要计算通量Φ,由此可以得到传输线电感。
单导体电感的计算
导体内磁通量引起的内电感的计算
假设一个导体携带电流I通过它的长度l, x是导体的内部可变半径,r是的原始半径导体.截面面积相对于半径x是πx2平方单位和当前的我x在这个横截面上流动。那么I的值x可用原始导体电流I和横截面积πr2广场-单位
现在考虑小厚度dx,导体长度为1m,其中Hx磁化力是由电流I引起的吗x围绕面积πx2.
磁通量密度为BxH =μx,其中,μ为该导体的磁导率。同样,µ=µ0µr.如果认为该导体的相对磁导率r= 1,则µ=µ0.因此,这里Bx=μ0Hx.
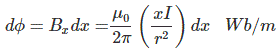
小带dx的Dφ表示为
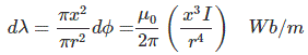
在这里导体的整个截面积并不包含上述表示的通量。半径为x的圆内的横截面积与总横截面积之比导体可以被认为是连接的分数转通量.因此通量链为
长度为1m,半径为r的导体的总磁链由
因此,内部电感为
导体的外部磁通量引起的外部电感
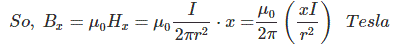
我们假设,由于集肤效应,导体电流I集中在导体表面附近。考虑,y是从导体中心取的距离使得导体的外半径。
Hy是磁化力和By是磁场每单位长度的导体在y距离处的密度。
让我们假设磁通D的厚度dy内存在D φ1到D2长度为1m的导体,如图所示。
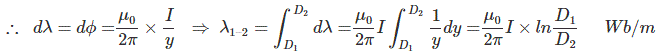
作为总当前的假设I在导体表面流动,因此磁通连杆dλ等于dφ。
但是我们必须考虑磁链导体曲面到任何外部距离,即r到D
二线单相传输线电感
假设导体A的半径为r一个带有当前的的我一个电流I方向相反B通过半径为r的导体BB.导体A与导体B的距离为D,它们的长度都是l。它们彼此很近,所以磁通联系在两个导体中都发生了导体因为它们的电磁效应。
我们认为两个导体中电流的大小是相同的,因此为I一个= -我B,
现在,导体A的总磁链=导体A自身电流的磁链+导体A受导体B电流影响的磁链。
同样,导体B的磁链=导体B自身电流的磁链+导体B通过导体A电流的磁链。
现在,如果我们考虑在导体a和B附近的点P,点P的磁链等于,载流导体a点P的磁链+点P的磁链载流导体B。
现在,.........如下图(a)和(b)所示。
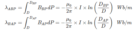
- λAAP导体A在P点的磁链是否由于电流通过导体一个本身。
- λABP为通过导体B的电流使导体A在P点的磁链。
- λ软面包卷为导体B由于通过导体A的电流在P点的磁链。
- λBBP为导体B由于通过导体B本身的电流在P点的磁链。
λABP和λ软面包卷因为方向,所以价值是负的吗当前的它们是相对的。
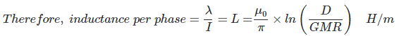
如果我们考虑两个导体具有相同的半径,即r一个= rB= r,点P移到无限远,我们可以这样写
如果导体一个成为捆绑导线,计算每束n个导体的几何平均半径(GMR)。
式中,d为束内导体中心轴线之间的距离。
三相传输线电感
在三相传输线,三个导体彼此平行。方向当前的每个导体都是一样的。
让我们考虑导体A产生磁通φ一个,
导体B产生磁通φB,
导体C产生磁通φC.
当它们携带相同大小的“I”电流时,它们彼此处于磁通联系中。
现在,让我们考虑在三个导体附近的点P。因此,通过导体A的电流在点P处的磁链为,
通过导体A的电流在P点的磁链=
通过导体B的电流使导体A在P点的磁链=
导体A在P点的磁链由于当前的通导体
因此,导体A在P点的磁链,
为,和
在平衡系统中,我们可以这样写
如果我们把它们排列成矩阵的形式,我们就得到
在那里,λ一个,λB,λC是导体A、B和C的总通量链。
lAA,我BB和LCC是自我电感的导体A, B和C。
lAB,我交流,我公元前,我英航,我CA,我CB是相互电感导体A, B和C之间的。
再平衡系统
和
在平衡系统中,我们可以这样写
同样的,








































