控制系统的数学建模
有各种类型的物理系统,我们有:
- 机械系统
- 电气系统
- 电子系统
- 热系统
- 液压系统
- 化学系统
首先,我们需要理解——为什么我们首先需要对这些系统建模?控制系统的数学建模是为这些类型的系统绘制框图的过程,以便确定它们的性能和传递函数。
现在让我们详细描述机械和电气类型的系统。我们将推导机械系统和电气系统之间的类比,这是最重要的理解控制系统的理论。
机械系统数学建模
我们有两种类型的机械系统。机械系统可以是线性机械系统,或者它可以是旋转机械类型的系统。
在线性机械类型的系统中,我们有三个变量:
- 力量,由'f'表示
- 速度,用“V”表示
- 线性位移,用“X”表示
我们还有三个参数:
- 质量,用M表示
- 粘性摩擦系数,由'b'表示
- 弹簧常数,由'k'表示
在旋转机械类型的系统中我们有三个变量:
- 扭矩,用T表示
- 角速度,由'ω'表示
- 角位移,用' θ '表示
而且我们还有两个参数:
- 转动惯量,用' J '表示
- 粘性摩擦系数,由'b'表示
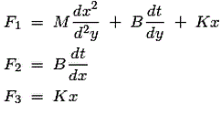
现在让我们考虑线性位移机械系统,如下所示
我们已经在图中标记了各种变量。x是图中所示的位移。根据牛顿第二运动定律,我们可以把力写成-
从下图我们可以看到:
代入F的值1, F2和F.3.在上面的方程中,取拉普拉斯变换传递函数是,
这个方程是机械控制系统的数学建模.
电气系统的数学建模
在电气系统中我们有三个变量 -
- 由“V”表示的电压。
- 由'i'表示的电流。
- 电荷用Q表示。
我们还有三个参数有源和无源组件:
- 抵抗性用R表示。
- 电容用“C”表示。
- 电感由'L'表示。
现在我们有条件在电气系统和机械系统之间进行类比。有两种类型的类比,它们被写在下面:
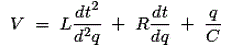
力电压模拟:为了理解这种类比,让我们考虑一个由串联组合的电路电阻器,电感器和电容器.
一个电压v与这些元素串联连接,如电路图所示。现在从电路图和借助于在任一瞬间我们用电荷来表示电压的表达式,电阻,电容器和电感器一样,
现在把上面的和我们推导的机械系统的比较,我们发现-
- 质量(M)类似于电感(l)。
- 力类似于电压V。
- 位移(X)类似于充电(Q)。
- 摩擦系数(B)类似于抗性R和
- 弹簧常数类似于电容的倒数(C)。
该类比称为力电压类比。
力目前模拟为了理解这种类比,让我们考虑一个由电阻、电感和电阻组成的并联电路电容器.
如电路图所示,电压E与这些元件并联。现在从电路图和借助于KCL.方程式我们在助势,电阻,电容和电感器为,
现在把上面的和我们推导的机械系统的比较,我们发现,
- 质量(M)类似于电容器(C)。
- 力类似于当前I.
- 位移(X)类似于助焊剂(ψ)。
- 摩擦系数(B)类似于电阻1 / R和
- 弹簧常数K类似于电感器的逆(L)。
这种类比被称为力电流类比。
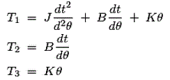
现在让我们考虑旋转机械类型的系统,如下所示,我们已经在图中标注了各种变量。θ是角位移,如图所示。从机械系统中,我们可以写出扭矩(类似于力)的方程,
从图表来看,我们可以看到,
代入T的值1,T.2和T3.在上面的方程中,取拉普拉斯变换传递函数是,
这个方程是的数学模型电气控制系统.















