节点分析的定义
节点分析是一种方法,提供了一个通用程序分析电路使用节点电压作为电路变量。节点分析也被称为节点电压法.
节点分析的一些特点是
- 节点分析是基于应用的吗基尔霍夫电流定律(氯化钾)。
- 有n个节点,就有n-1个联立方程需要解。
- 求解' n-1 '方程可以得到所有节点的电压。
- 非参考节点的数目等于可以得到的nodes方程的数目。
节点分析中的节点类型
- 非参考节点-它是具有一定节点电压的节点。例如,这里的节点1和节点2是非引用节点
- 参考节点,它是一个节点,作为所有其他节点的参考点。它也被称为数据节点。
参考节点的类型
- 机壳接地,这种类型的参考节点充当多个电路的公共节点。
- 地球地面,当大地电位在任何电路中被用作参考时,这种类型的参考节点被称为接地。
用节点分析法求解电路
节点分析的基本步骤
- 选择一个节点作为引用节点。分配电压V1, V2第五……n - 1到剩下的节点。电压是参照参照节点的。
- 对每个非引用节点应用KCL。
- 使用欧姆定律用节点电压表示支路电流。
节点总是假定电流从高电势流向低电势电阻器.因此,当前的表示如下
4应用欧姆定律后,得到' n-1 '节点方程的节点电压和抗性.
V。求解' n-1 '节点方程的值的节点电压,得到所需的节点电压的结果。
基于电流源的节点分析
有电流源的节点分析非常简单,下面将通过一个示例进行讨论。
例子:计算以下电路的节点电压
在下面的电路中,我们有3个节点,其中一个是参考节点,另外两个是非参考节点-节点1和节点2。
我一步。设置节点电压为v1和2并标记出有关参考节点的支路电流方向
第二步。对节点1和节点2应用KCL
1号节点KCL
KCL在2号节点
第三步。将欧姆定律应用于KCL方程
•欧姆定律到节点1处的KCL方程
对上述方程进行化简,得到:
•现在,节点2处的KCL欧姆定律方程
将上述方程化简得到
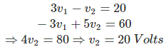
第四步。现在解出方程3和4得到v的值1和v2为,
用消元法
代入值v2=方程(3)中的20伏,我们得到-
因此节点电压为v1= 13.33伏和v2= 20伏。
带电压源的节点分析
情况下我。如果一个电压源参考节点和非参考节点之间是连接的,我们只需设置非参考节点的电压等于电压源的电压,它的分析可以像我们做电流源.v1= 10伏特。
案例二世。如果电压源位于两个非参考节点之间,则形成一个超级节点,其分析如下
Supernode分析
超级节点定义
当电压源(独立或依赖)在两个非参考节点之间连接时,这两个节点形成一个广义节点,称为超级节点。因此,超级节点可以看作是一个包围电压源及其两个节点的表面。
在上图中,5V源连接在两个非参考节点Node - 2和Node - 3之间。所以这里的节点- 2和节点- 3构成了超级节点。
Supernode的属性
- 在超级节点上,两个非参考节点的电压差总是已知的。
- 超级节点本身没有电压
- 一个超级节点需要同时应用KCL和在任一瞬间来解决这个问题。
- 任何元件都可以与形成超级节点的电压源并联。
- 超级节点像简单节点一样满足KCL。
如何解决任何包含超级节点的电路
让我们举个例子来理解如何求解含有超级节点的电路
在节点1和节点2之间连接2V电压源,它与10Ω电阻并联形成一个超级节点。
注意:任何与之并联的元件电压源形成超级节点没有任何区别,因为v2- - - - - - v1= 2V总是等于电阻器.这样可以去掉10 Ω,重新绘制电路,并将KCL应用于超级节点,如图所示,
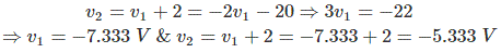
用节点电压表示和。
从方程5和6我们可以写成
因此,v1= - 7.333V和v2= - 5.333V,这是必需的答案。























