当电气系统中有短路故障时,短路短路当前的流过包括的系统断路器(CB)触点,除非通过绊倒CB来清除故障。当短路电流流过CB时,断路器的不同电流承载部件经受巨大的机械和热应力。
如果CB的导电部分没有足够的截面积,就有可能产生危险的高温升高。这种高温会影响炭黑的绝缘质量。
CB触点也经历高温。CB触点的热应力与I成正比2RT,其中R是联系人抵抗性,取决于接触压力和接触面条件。我是均方根值短路电流和T是持续时间短路电流已经飞过了联系人。
触发故障后,短路电流保持不变,直到断路器的断路单元断开。因此,时间t为break的时间断路器。由于此时间的规模非常少,因此假设故障期间产生的所有热量被吸收导体由于没有足够的时间进行惯例和热量的辐射。
温度升高可以通过以下公式确定,
式中,T为每秒的温升,单位为摄氏度。
我是当前的(对称的rms)安培。
A是导体的横截面积。
ε是温度系数电阻率导体在20O.C。
正如我们所知,那铝在160以上O.C损耗其机械强度并变得柔软,希望限制低于该温度的温度升高。此要求实际上设定了短路期间的允许温度升高。通过控制CB断裂时间和对导体尺寸的正确设计来实现该限制。
短路力量
两个平行之间产生的电磁力电流承载导体,由公式给出,
式中,L为两导体的长度,单位为英寸。
s是它们之间的距离英寸。
我是每个人都携带的目前导体。
实验证明,电磁短路力最大,当短路电流I的值是初始的1.75倍均方根值对称短路电流波。
然而,在某些情况下,可能的是,可能大于这些的力可以发展,例如在非常刚性条的情况下或由于在易于机械振动的条形的条形的情况下,因此是由于谐振。实验还表明,在施加或移除力的瞬间在非谐振结构中产生的反应可能超过电流在流动时所经历的反应。
因此,最好是错误在安全方面,并考虑到所有的意外情况,为此,我们应该考虑不对称短路电流的初始峰值可能产生的最大力。这个力可以看成是由上式计算出的力的两倍。
该公式对于圆形横截面导体非常有用。尽管L是导体部分的有限长度,但是彼此平行地运行,但是公式仅适合于每个导体的总长度被假定为无穷大。
在实际情况下,导体的总长度不是无限的。也考虑到这一点,即透气密度在末端载流导体比其中间部分相当不同。
因此,如果我们在短导体上使用上方公式,则计算的力远高于实际的力。
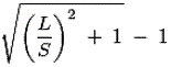
可以看到,如果我们使用这个术语,这个误差可以大大消除,
在上述公式中纯粹是l / s。
公式就变成了,
由等式(2)表示的公式,给出错误当比率L / S大于20时,自由的结果。当20> L / S> 4时,式(3)适用于无差错结果。
当L/S < 4时,公式(2)适用于无误差结果。上述公式仅适用于圆形截面导体。但对于矩形截面导体,公式中需要有一定的修正系数。假设这个因子是k,因此,上面的公式最终变成,
如果间距之间的间隔,则导体的横截面形状的效果迅速减少导体增加k的值为最大值,条带状导体,其厚度相当于其宽度。当导体横截面的形状完美正方形时,k可忽略不计。K是完美圆形横截面导体的统一性。这对标准和标准都保持了真实遥控断路器。








