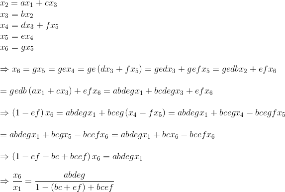
控制系统信号流图方框图的进一步简化是控制系统.这里,传递函数块、求和符号块和取点块通过分支和节点消除。
传递函数称为透光率在信号流图中。举一个方程y = Kx的例子。这个方程可以用方框图表示如下
同样的方程可以用信号流图表示,其中x为输入变量节点,y为输出变量节点,a为直接连接这两个节点的支路的透过率。
绘制信号流图的规则
- 信号总是沿着支路向支路中指示箭头的方向传播。
- 该支路的输出信号是该支路的透射率和输入信号的乘积。
- 一个节点的输入信号是在该节点进入的所有信号的总和。
- 信号通过所有分支传播,留下一个节点。
信号流图传递函数表达式计算的简单过程
- 首先,在图的每个节点上计算输入信号。一个节点的输入信号是每个分支的另一个端节点变量的透光率的乘积和箭头指向前一个节点。
- 现在通过计算所有节点的输入信号将得到与节点变量和透光率.更准确地说,每个输入变量节点都有一个唯一的方程。
- 通过求解这些方程,我们得到了整体的最终输入和输出控制系统信号流图.
- 最后,将最终输出的灵感分解为初始输入的表达式,计算出该信号流图传递函数的失效
如果P是信号流图的极端输入和输出之间的前向路径透过率。l1,我2......................回路透光率第一,第二,......图的循环。然后第一控制系统信号流图,极值输入与极值输出之间的总透过率为
然后求出第二信号流图控制系统,极值输入与极值输出之间的总透过率为
在上图中,有两条平行的向前路径。因此,它的整体透光率控制系统信号流图将是这两条平行路径的正向透过率的简单算术和。
由于每个平行路径都有一个环路与之相关,所以这些平行路径的正向透射率为
因此,信号流图的整体透光率为
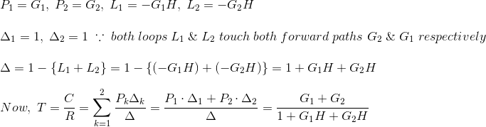
梅森的增益公式
的整体透过率或增益控制系统信号流图由梅森增益公式给出,根据该公式,总透光率为
在那里,Pkk的正向路径透过率是多少th从指定的输入到输出节点的路径是已知的。在逮捕Pk任何节点都不应该被多次遇到。
Δ是包含闭环透光率和非接触式回路之间相互作用的图行列式。
Δ = 1 -(所有单个环的透光率总和)+(所有可能的非接触环对的环的透光率乘积之和)-(所有可能的非接触环对的三次环的环的透光率乘积之和)+ (......)- (......)
Δk是与所考虑的路径相关的因素,涉及图中与所考虑的正向路径隔离的所有闭环。
路径因素Δk对于kthpath等于其信号流图在擦除K后存在的grab行列式的值th图上的路径。
利用该公式,可以很容易地确定控制系统的整体传递函数控制系统框图(如果以这种形式给出)的等效信号流图。让我们来说明下面给出的框图。




























