我们已经讨论过傅里叶级数以指数形式。在本文中,我们将讨论另一种形式的傅里叶级数,即。三角傅里叶级数.
三角形式的傅里叶级数表示
三角形式的傅里叶级数可以很容易地从它的指数形式导出。基本周期为t的周期信号x(t)的复指数Fourier级数表示o由给出
因为正弦和余弦可以用指数形式表示。因此,通过操纵指数傅里叶级数,我们可以得到它的三角形式。
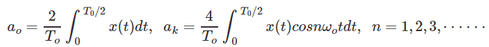
这个三角傅里叶级数基本周期为t的周期信号x(t)的表示式如下:
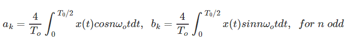
其中K和bK傅里叶系数由
A.0是信号的直流分量,由
傅里叶级数的性质
1.如果x(t)是偶数函数i、 e.x(-t)=x(t),则BK=0和
2.如果x(t)是偶数函数i、 e.x(-t)=–x(t),然后A.0=0,aK=0和
3.如果x(t)是半对称函数i、 e.x(t)=-x(t±t0/2) ,那么A.0=0,aK=b级K=0表示k偶数,
4.线性
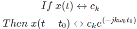
5.时移
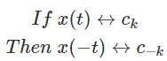
6.时间反转
7.乘法
8.共轭
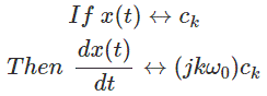
9.差异化
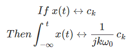
10.整合
11.周期卷积
指数型系数与三角型系数的关系
当x(t)是实的,那么a和b是实的,我们有
信号轴移位的影响
- 将波形相对于参考时间轴t=0左右移动时,仅频谱的相位值改变,但幅度频谱保持不变。
- 波形向上或向下移动时,w.r.t时间轴仅改变函数的直流值。
















